Maths Behind Mass Movements: Formalizing How Tens of Millions Evolve Over Millennia
Perhaps "War and Math" was too simplistic...

FREE BONUS CONTENT FOR WAR IS MATH
State power, a formalized abstract fiction, nonetheless has a real existence as an organizing principle, justification, and vector for the material fact of violence. In fact, “states” can and sometimes do exhibit a collective coherence that is more empirically accurate than nominalism or atomism to say nothing of individualism, all of which are weak to useless explanations of long term collective phenomena. These are all partial pictures. However, organizing and understanding “the State” and “its” actions with strategic thinking is, like the state, a powerful and compelling explanation of and vector for, long term group actions. The fact some “states” are indeed incoherent and many more fail at strategy catastrophically and most make at least some strategic mistakes some of the time does not change the fact we engage with and understand the world more effectively with strategic thinking. These are all fictions and promises but they are different from fairy tales and parables because these are fictions backed up with fists and promises enforced at gunpoint.
State power as an abstract fiction with real coercive effects can be modeled rigorously using concepts from game theory, dynamical systems, and social choice theory. Below, I derive and express key formulae capturing these ideas—state coherence, strategic action as an organizing vector, collective vs. individualist explanations, and the practical efficacy of strategic modeling despite imperfections. Each formula is followed by term definitions.
These ideas are better expressed mathematically since then they can be used in various AI applications and also to provide unequivocal unambiguous statements as well as in wargames.
State Power as Coercive Vector
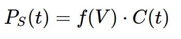
Blinding via Denial
In sum: fictions gain reality through coercion. Strategic lenses excel empirically despite flaws, and denying strategy disempowers. These ideas draw from game theory (e.g., Nash-like optimization), control theory (state-space for coherence), and mechanism design (enforcement).
Free eBooks till Friday
“Cheat Codes”: How to Pass the Bar Exam
Mastering Contract Law for the Multistate Bar Exam Multiple Choice Section
CIA MIND SCIENCE, CODES & CIPHERS
The Tao of Christ: Chinese and European Religions in Comparison
American Corporate Law for European Jurists
Real Property Law Quiz Questions & Explanatory Answers
MANDARIN CHINESE VOCABULARY BUILDER
Language Secrets : Speak Any Language Quickly & Well
AI LAPTOP: ASUS ROG Strix SCAR 16 (2025) AI Laptop, ROG NVIDIA GeForce RTX 5090, Intel Core Ultra 9 275HX, 32GB DDR5, 2TB SSD
Either all those numbers mean something to you and you should buy it or they don’t and you should still buy it. (Affiliate links) . You should buy it here because it is rare and powerful and will help you enjoy the AI gold rush and to support the project (affiliate link) This is how I break codes, plan wars, generate propaganda, and destroy Rus.
CHINA
China’s vast North China Plain and three major navigable inland rivers (Yellow, Yangtze, Pearl) facilitated tendencies toward expansive, centralized empires capable of sustaining large-scale, prolonged wars of unification, while Europe’s fragmented “peninsula of peninsulas,” with its mountains, forests, and natural barriers, often confined conflicts to smaller, localized scales by allowing defeated forces to retreat and persist in rugged refuges—though both regions experienced significant exceptions driven by politics and ideology.











